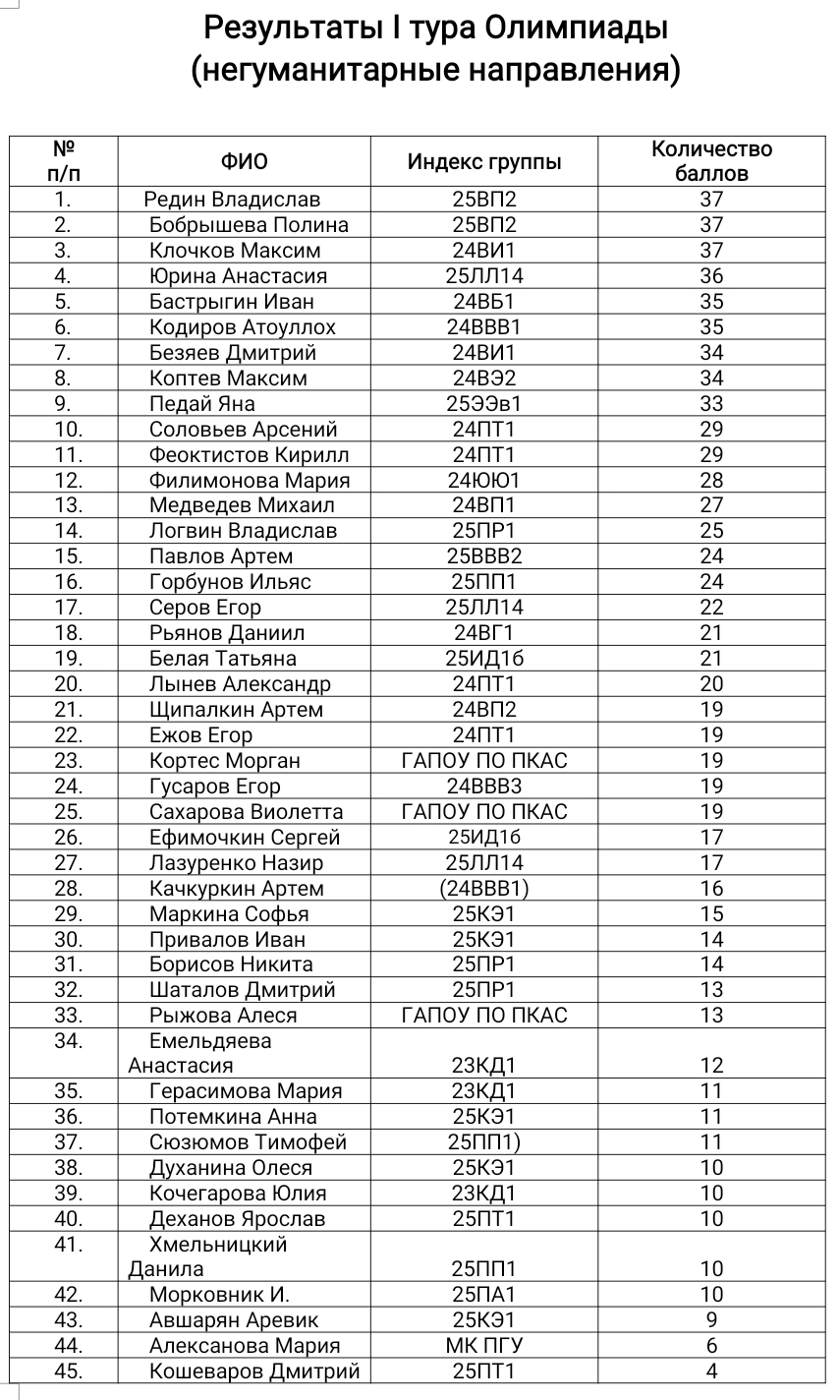
Подведены итоги I тура Олимпиады по английскому языку
» Последнее в рубриках:
| 27.03.2026 13:26 | Лингвистический баттл |
| 18.03.2026 21:19 | Подведены итоги конкурса плакатов «В единстве народов наша сила» |
| 07.03.2026 21:47 | Конкурс чтецов «Живое слово. Моя будущая профессия» |
| 25.02.2026 21:33 | "All-round English Quiz 2026" |
| 25.02.2026 21:15 | Историческое наследие и профессиональные ориентиры: студенты ПГУ в Информационно-ресурсном центре |
| 16.02.2026 11:22 | График приема задолженностей |
| 13.02.2026 15:23 | Внимание! Награждение победителей Олимпиады! |
| 10.02.2026 10:47 | Приглашаем студентов всех подразделений ПГУ к участию в Конкурсе! |
| 30.01.2026 14:41 | Работа преподавателей кафедры "ИЯ и ПК" в лингвистической образовательной смене |
| 26.12.2025 15:26 | ПРИЕМ ЗАДОЛЖЕННОСТЕЙ ПРЕПОДАВАТЕЛЕЙ КАФЕДРЫ «ИЯиПК» |

Версия для печати





